Ochrana přírody 6/2025 — 18. 12. 2025 — Z naší přírody — Tištěná verze článku v pdf
Přítomnost nepůvodního jelena siky v naší přírodě je tolerována již po několik desetiletí. Sika je lovecky atraktivní zvěří, a myslivecká obec tudíž nemá zájem její stavy redukovat. Nenáročný a přizpůsobivý sika toho dokázal velmi efektivně využít. V některých oblastech našeho státu dosáhla invaze jelena siky takových rozměrů, že zde téměř nenajdeme přírodní stanoviště, jež by jím nebyla významně poškozována. Dobře to lze doložit na příkladech dlouhodobě sledovaných rostlinných druhů a společenstev ve Slavkovském lese.
Početnost jelena siky ve Slavkovském lese
První jelen sika (Cervus nippon nippon) byl ve Slavkovském lese zastřelen v roce 1963. V 90. letech 20. století se populace rychle rozrostla, ale zvětšuje se i nadále. V uplynulém hospodářském roce byl v honitbách na území CHKO Slavkovský les (611 km2) vykázán odstřel více než 2 600 kusů sičí zvěře.
Co to znamená v praxi, si můžeme ukázat na příkladu honitby Prameny (18,5 km2) zahrnující většinu hlavního hadcového hřebene Slavkovského lesa (I. zóna CHKO, evropsky významné lokality). Součástí honitby je několik chráněných území (NPR Pluhův bor, PR Planý vrch, NPP Křížky, PP Dominova skalka) a další se nacházejí v jejím bezprostředním sousedství (NPP Upolínová louka pod Křížky, PR Údolí Teplé). Podle vyhlášky o způsobu stanovení minimálních a normovaných stavů zvěře 491/2002 Sb. by se zde celková přirozená populační hustota všech druhů jelení zvěře měla pohybovat kolem 60 kusů – tedy 3,24 kusu na 1 km2. Pomocí termovize však bylo zjištěno jen u jelena siky 478 kusů, tedy téměř 26 kusů na 1 km2 (Macháček et al. 2020). K tomu se přidává dalších 301 kusů jelena evropského, tedy přes 16 kusů na 1 km2. Alternativní metodou sběru trusu bylo sice zjištěno o něco méně jedinců (648 kusů jelena siky a jelena evropského dohromady), ale stále mnohonásobně více než by odpovídalo vyhláškou předepsanému stavu. Pro úplnější představu o množství zvěře a jejím reprodukčním potenciálu zbývá doplnit, že v roce 2020 byl v honitbě Prameny vykázán odstřel 69 siků a 115 jelenů evropských.

Pohled z dronu na Upolínovou louku pod Křížky dokumentující vysokou populační hustotu zvěře. Snímek je ze severní, nejmokřejší části lokality, kudy lidští návštěvníci neprocházejí. Fotografováno v květnu 2024. Foto Přemysl Tájek
Křížky – záchrana za pět minut dvanáct
Národní přírodní památka Křížky je patrně nejznámější přírodní lokalitou Slavkovského lesa. Tvoří ji 400 metrů dlouhý skalnatý hadcový hřbet, na němž se v uplynulých staletích díky pastvě ovcí stabilizovalo druhově bohaté vřesoviště se vzácnými druhy rostlin a lišejníků. Vlajkovým druhem území je vřesovec pleťový (Erica carnea), jehož rozkvetlé koberce sem ještě před roztáním posledního sněhu lákají návštěvníky ze širokého okolí.
Někdy po roce 2000 se ale červenorůžová záplava květů začala z Křížků postupně vytrácet a po roce 2014 bylo možné poslední kvetoucí trsy najít už jen na obtížně přístupných skalních hranách. Příčiny degradace vřesoviště nebyly zpočátku zcela zřejmé. V podezření bylo nejprve špatné načasování letní pastvy ovcí, kterou zde Správa CHKO zajišťuje od devadesátých let, a tak Správa CHKO založila pokus, který to měl ověřit. Ukázalo se však, že rozhodující vliv na destrukci populace vřesovce i celého vřesoviště má zimní pastva extrémně přemnožené lesní zvěře, zejména nepůvodního jelena siky. Zvěř se na Křížkách soustřeďovala především koncem zimy, kdy na jižně ukloněných svazích, kde dříve odtává sníh, okusovala rašící vřesovce a další keříčky (Tájek et Janovský 2016).
V reakci na tyto výsledky sáhla Správa CHKO v roce 2017 k drastickému zásahu v podobě oplocení celé NPP Křížky (4,5 ha). Hned následujícího roku se vřesoviště opět začervenalo kobercem rozkvetlých vřesovců a velmi jasně ukázalo, jak významným faktorem při ochraně rostlinných společenstev může pastva lesní zvěře být (Tájek 2024). Přístup na lokalitu pro návštěvníky byl zachován, ale musejí se protáhnout zalomeným průchodem v oplocení. Nežádoucí konkurenčně silné druhy trav i nadále úspěšně potlačuje letní pastva ovcí. Nevýhodou oplocení hřbetu je jeho rychlejší zarůstání dřevinami, kterému je třeba čas od času čelit jejich vyřezáním. Masivní oplocení také nepůsobí v přírodní krajině přirozeně a snižuje estetickou hodnotu místa.

Sedmnáct let stará oplocenka v NPR Pluhův bor zbudovaná k ochraně borového zmlazení. V oplocené části (vlevo) se plně rozvinul bylinný podrost s vřesovcem pleťovým, zatímco v neoplocené části bylinné i mechové patro téměř chybí. V oplocence však dodnes neodrostly žádné borovice – občasné poškození oplocení vývraty či zlomy umožnilo přemnožené zvěři zmlazující dřeviny opakovaně zcela zlikvidovat. Fotografováno v dubnu 2021. Foto Přemysl Tájek
Překvapivá příčina mizení upolínů na Upolínové louce
Další dějství našeho příběhu se odehrává jen kousek přes cestu a zápletka každoročně graduje zhruba o dva měsíce později. V tu dobu totiž na mokřadních loukách v národní přírodní památce Upolínová louka pod Křížky rozkvétá více než tisícihlavá populace upolínu nejvyššího (Trollius altissimus). O její oblíbenosti svědčí vyšlapané cestičky od návštěvníků ochotných obětovat sucho v botách za snímek s co největším počtem velkých kulovitých a zářivě žlutých květů upolínů. Dnešní ostrůvky rozkvetlých upolínů jsou však zřejmě jen slabým odleskem dávno zašlých časů, jak je líčí pamětníci. Ti často připisovali úbytek upolínů nevhodné péči o lokalitu spočívající v kosení mokřadních luk, jež zde bylo obnoveno s příchodem 21. století. Upolínům se totiž dobře daří i na nekosených loukách a Upolínová louka pod Křížky byla celou druhou polovinu 20. století ponechána ladem. Kosení na lokalitě dodnes probíhá rotačním způsobem, přičemž každoročně je pokosena zhruba třetina luk.
V roce 2014 proto Správa CHKO založila na 20 plochách o velikosti 7 × 7 m pokus s cílem zjistit, jaký způsob hospodaření na louce by byl optimální jak pro upolíny, tak pro minimalizaci nákladů na její údržbu. Čtvrtina ploch je ponechána ladem, čtvrtina je kosena jednou za 4 roky, čtvrtina je kosena ob rok a čtvrtina je pokosena každoročně. V uplynulých deseti letech upolíny bohužel pomalu ubývaly na všech plochách – nejrychleji v nekosených, nejpomaleji v každoročně nebo ob rok kosených. Při sledování upolínů jsme se však nesoustředili pouze na počty jedinců, ale také na jejich stav a odsud přišlo vysvětlení klesajících počtů v populaci. V některých letech bylo až 90 % všech květů upolínu spaseno. Pastevní tlak (měřený proporcí spasených lodyh) navíc v průběhu let sílil. Zákonitým důsledkem se stal dlouhodobý nápadný nedostatek semenáčků upolínů v celé populaci navzdory dobré klíčivosti semen a vliv pastvy tak zcela zastínil možné dopady kosení (Janovský 2023, Tájek et Janovský 2024). Pachatelé jsou zřejmí – jeleni sika zde byli nejednou pozorováni přímo při činu. Jen do doby výzkumu nikoho nenapadlo, že by pastva lesní zvěře mohla mít zrovna pro upolíny tak fatální důsledky. Zvěř spásá květy nejraději až po jejich odkvětu ve fázi zrání semen, kdy lodyhy postupně zasychají. Lze předpokládat, že je to jednak pro vyšší výživovou hodnotu lodyh se semeny, jednak pro menší či žádný obsah alkaloidů. Upolíny (podobně jako další druhy z čeledi pryskyřníkovitých) jsou totiž známy vysokým obsahem jedovatých alkaloidů, které mohou způsobovat otravy i mnohem větších hospodářských zvířat, avšak pouze v čerstvém stavu. Spásání po odkvětu je výrazně méně nápadné, a proto nám jeho důsledky dlouho unikaly, dokud nebyly vyhodnoceny výsledky dlouhodobého pokusu.
Zanikající hadcové bory
Jedním z nejvýznamnějších přírodních fenoménů Slavkovského lesa jsou reliktní bory na hadcích, které jsou v oblasti Mnichovských hadců chráněny ve čtyřech rezervacích a dvou evropsky významných lokalitách. Jedná se o největší hadcové území v České republice. Nebýt starých fotografií v prvních popisech zdejší vegetace pocházejících z počátku 20. století (Domin 1924), jen těžko bychom si už dnes dokázali představit, jak odlišná a fascinující stanoviště se zde vyskytovala. Zdejší řídké hadcové bory, či spíše vřesoviště s rozptýlenými borovicemi se totiž v uplynulém století přeměnily v zapojenější les s významným podílem smrku. Příčin těchto změn je několik. Jednou z nich je opuštění starých způsobů hospodaření v lesích – pastvy domácího zvířectva, hrabání steliva a vypalování. Oheň udržoval lesy otevřené (a s vyšším podílem požáru odolných borovic) nejspíše i před příchodem člověka, jak dokazují analýzy uhlíků v půdních profilech. Les zde zřejmě periodicky shořel v intervalu přibližně 170 let (Bobek 2015). Oproti tomu novodobé lesnické hospodaření a absence přirozených požárových událostí vedly ke zvýhodnění smrku a k potlačení diverzity bylinného podrostu. V posledních desetiletích se ke změnám v lesnickém hospodaření přidaly ještě atmosférický spad dusíku a pastevní tlak přemnožené lesní zvěře. Ten se zpočátku výrazně projevoval jen absencí borového zmlazení. Postupně však přemnožená zvěř začala významně snižovat pokryvnost bylinného patra v lesích. V některých částech hadcového hřebene už před dvaceti lety rostl v podrostu pouze mech, v současnosti je situace ještě kritičtější – vegetace zde chybí zcela a zůstává pouze rozdupaná hlína a šišky.
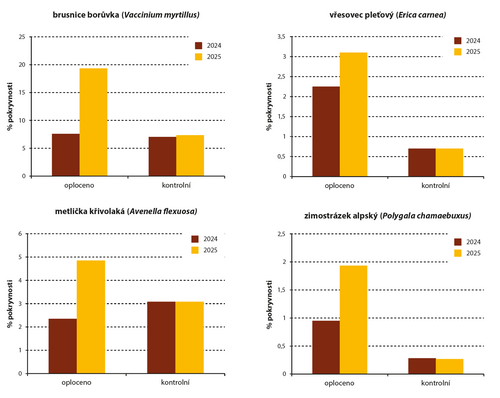
Vliv pastvy lesní zvěře na bylinné patro hadcových borů byl v oblasti Mnichovských hadců sledován v letech 2007, 2009, 2011 a 2014 v rámci drobných pilotních pokusů s dvojicemi oplocených a neoplocených vegetačních ploch. V oplocených plochách se zřetelně zvýšila pokryvnost všech keříčků, hlavně vřesu obecného a vřesovce pleťového (Tájek, nepubl. data). Kvůli rostoucímu významu tématu pak byl v roce 2024 založen na hlavním hřebeni Mnichovských hadců velký pokus se 6 dvojicemi výzkumných ploch o ploše 200 m2, kdy vždy jedna plocha z dvojice byla oplocena. Vzhledem k enormnímu tlaku zvěře bylo možné první výsledky pozorovat již po jednom roce od oplocení. Průměrná pokryvnost bylinného patra vzrostla v oplocených plochách z 29 % na 46 %. Nejvíce se v nich zvýšila pokryvnost keříčků (borůvka – Vaccinium myrtillus – relativní nárůst o 155 %; zimostrázek alpský – Polygala chamaebuxus – relativní nárůst o 104 %) a některých druhů trav (metlička křivolaká – Avenella flexuosa – relativní nárůst o 106 %; třtina rákosovitá – Calamagrostis arundinacea – relativní nárůst o 82 %). Oproti tomu v plochách dále přístupných zvěři nedošlo prakticky k žádným změnám, což dokazuje, že potlačení bylinného patra bylo skutečně způsobeno pastvou lesní zvěře s dominantním jelenem sikou (Melichar 2025) – viz grafy na str. 6.
Obdobná situace jako v hadcových borech u Mnichova je i v přirozených borových lesích v okolí Bečova nad Teplou či na Kozích hřbetech mezi Horním Slavkovem a Doubím u Karlových Varů. Všude tam ještě před deseti lety rozkvétaly na jaře koberce vřesovců pleťových, dnes po nich zbývají pouze žalostné zbytky.
Orchideje jako vyhledávaná lahůdka
Každý, kdo měl někdy možnost ve volné přírodě zblízka pozorovat pasoucí se jeleny sika nebo jeleny evropské, ví, jak vybíraví při pastvě jsou. Velmi často si za potravu cíleně vybírají rostliny, kterých je málo, ale chutnají jim. I malé stádo se pak může stát hotovou pohromou pro vzácné druhy rostlin, jako jsou např. orchideje vstavač osmahlý (Orchis ustulata), pětiprstka hustokvětá (Gymnadenia densiflora) a vstavač mužský (Orchis mascula). Dlouhodobé sledování populace vstavače mužského v honitbě Prameny ukázalo, že naprostá většina vstavačů není kvůli okusu kvetoucích lodyh schopna vytvářet semena. Část populace je proto od roku 2024 před pastvou chráněna speciálními přenosnými klecemi. Podrobnější pozorování však ukázala, že v tomto případě je častějším pachatelem domácí jelen evropský, ale jelen sika si také občas rád „chroupne“.
Vzácný zvonek a lišejníky pod kopyty stád
Dalším vzácným druhem bezprostředně ohroženým přemnoženým sikou je zvonek hadincovitý (Campanula cervicaria) – statná, chlupatá a vzhledově atraktivní dvouletka. Pravděpodobně poslední lokalitou tohoto kriticky ohroženého druhu v západních Čechách je přírodní rezervace Údolí Teplé, kde roste v osluněném bylinném lemu nad železniční tratí. Zdejší populace zvonku je od roku 2011 každoročně sledována a poloha všech nalezených rostlin přesně zaznamenávána (Tájek 2025). Více než polovina kvetoucích zvonků bývá každoročně ukousnutých. Poškozené rostliny pak buď nevytváří žádná semena, nebo jen menší počet z náhradních květenství. Zatímco upolíny jsou dlouhověké trvalky, u této dvouletky představuje jakýkoliv výraznější výpadek produkce semen vážné ohrožení (zvonky po vytvoření semen v druhém roce hynou). Vliv lesní zvěře na zvonek se neprojevuje jen okusem, ale i nadměrným sešlapem stráně a následnou erozí půdy spojenou s vysycháním stanoviště. V roce 2025 byla proto lokalita proti lesní zvěři oplocena s cílem populace zvonku stabilizovat.
Intenzitu pastvy v Údolí Teplé dobře dokresluje i inventarizační průzkum lišejníků (Peksa 2025). Pastva a pohyb zvěře jsou ve zdejším svažitém terénu klíčovým limitujícím faktorem pro výskyt většiny na zemi rostoucích druhů lišejníků. Kromě obvyklého jelena siky se zde do řad pachatelů přidává i muflon, který je nejvýraznějším zvířecím postrachem ochrany přírody v jiných oblastech (např. České středohoří nebo Křivoklátsko).


Kriticky ohrožený zvonek hadincovitý v PR Údolí Teplé s chybějící vrcholovou částí lodyhy. Většina rostlin je každoročně alespoň částečně poškozena selektivní pastvou jelena siky. Početní stavy siky jsou tak vysoké, že zde celkem pravidelně dochází k usmrcování zvířat vlaky. Foto Přemysl Tájek
Ne každé působení jelenů sika je špatné, ale negativa s přehledem převažují
Extrémní pastevní tlak jelena siky nedecimuje pouze stavy chráněných rostlin, ale také výsadby dřevin. Velké škody jsou i na stanovištně nevhodných výsadbách smrků, což místy vede k přirozenému obohacování druhové skladby lesa o břízu bělokorou, jeřáb ptačí, javor klen a v některých oblastech i buk lesní. Odrostlé výsadby smrku ve věku 30–50 let jsou často v důsledku dřívějšího loupání kůry zvěří natolik poškozené, že dochází k jejich předčasnému rozpadu a pak se zde naskytuje možnost rychlejší obnovy druhově rozmanitějších a stabilnějších porostů. Disturbance půdního povrchu významně podporují populace některých druhů vzácných rostlin – ve Slavkovském lese je to obzvláště nápadné u rosnatky okrouhlolisté (Drosera rotundifolia) na rašeliništích Paterák a Smraďoch. Stará nebo jen občasně využívaná jelení kaliště ve slatiništích jsou často posledními útočišti silně ohrožené tučnice obecné (Pinguicula vulgaris). Na hadcovém hřebeni jsou prameniště se starými kališti plochami s nejvyšší pokryvností endemického rožce kuřičkolistého (Cerastium alsinifolium). Intenzivní pastva jelení zvěře také zpomaluje zarůstání některých cenných mokřadů na bezlesí a také lesních pasek. Takové paseky pak lépe poskytují útočiště vzácným světlomilným druhům – například na Bečovsku silně ohroženému zběhovci jehlancovitému (Ajuga pyramidalis) – viz foto na str. 6.
Pozitivní vlivy pastvy jelení zvěře jsou vedlejším produktem jejího přemnožení a nelze se na ně spolehnout plošně, protože pastevní tlak se mezi jednotlivými místy výrazně liší. Při současných stavech jelení zvěře je nesporné, že negativa výrazně převažují a situace se rychle zhoršuje. Navíc úpadek hospodaření v krajině (zejména pastvy hospodářských zvířat) problém s jelení zvěří násobí. Jelenům totiž zůstávají potravní zdroje, které by jinak využila hospodářská zvířata a tlumila tak dramatický nárůst populací jelenů. Zůstává otázkou pro další výzkum, proč dřívější hospodaření v krajině s rozšířenou pastvou bylo pro ochranářsky cenné druhy spíše pozitivní, zatímco nyní narůstající pastva jelení zvěře působí jednoznačně negativně. Pro zodpovězení této otázky bude třeba více se ponořit do studia pastevních preferencí jelenů a také jejich prostorového chování. To se totiž od hospodářských zvířat výrazně liší, mimo jiné i v důsledku nutnosti dávat si pozor na lovce i divoce žijící predátory.
Změny průměrných pokryvností vybraných druhů bylinného patra v oplocených a neoplocených plochách v borech Mnichovských hadců.
Změny průměrných pokryvností bylinného a mechového patra v oplocených a neoplocených plochách v borech Mnichovských hadců.

Vliv pastvy lesní zvěře na pasekovou vegetaci se silně ohroženým zběhovcem jehlancovitým v honitbě Javorná (842 ha). Území je dlouhodobě známo vysokými stavy jelena siky (v roce 2024 zde byl vykázán odlov 99 kusů siky, 3 jelenů evropských a 19 kusů srnčí zvěře). Fotografováno v květnu 2008. Foto Přemysl Tájek
Bez zvýšení odstřelů není náprava možná
Všechna sledování vlivu pastvy přemnoženého jelena siky na rostlinná společenstva mají stejný a jednoznačný závěr: je nezbytné radikálním způsobem snížit jeho stavy. Nejcennější fragmenty ekosystémů lze sice chránit i prostřednictvím oplocení, jediným skutečným řešením obnovy přírodních fenoménů na krajinné úrovni je však za stávající situace pouze zvýšení odstřelů.
Výzkum pastvy lesní zvěře na hadcovém hřebeni v letech 2024–2025 byl podpořen Integrovaným projektem LIFE pro soustavu Natura 2000 v České republice – LIFE17 IPE/CZ/000005 LIFE-IP: N2K Revisited. Za poskytnutí údajů o výši odlovů děkujeme pracovníkům příslušných obcí s rozšířenou působností – Ing. Pavlu Nečasovi, Ing. Miroslavu Kučerovi, Hubertu Jeřábkovi, Bc. Lukáši Kovářovi a Petře Staré. V článku byly využity výstupy ze stálého monitoringu efektivity managementových opatření, který je prováděn AOPK ČR v rámci péče o NPP Křížky a NPP Upolínová louka pod Křížky (Tájek, nepubl. data; Janovský 2023). ■
- - - -
Úvodní foto:
Jedna z pokusných ploch ke sledování vlivu pastvy v NPP Křížky. V oplocené ploše bohatě kvete vřesovec pleťový, který v navazující části vřesoviště trpěl nadměrnou zimní pastvou jelena siky. Fotografováno v dubnu 2011. Foto Přemysl Tájek
- - - -
Literatura: